Page 55 - JSOM Fall 2025
P. 55
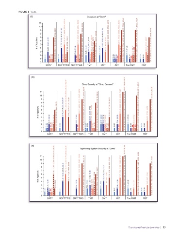
FIGURE 5 Outcomes and times for first and last tourniquet applications.
A video orientation for the graphs can be accessed at https://vimeo.com/898206452/2abc1a098d. In each panel, the y-axis shows the number
of appliers; the x-axis lists tourniquets; numbers over columns are times in seconds; first applications are indicated by light colors; last (seventh
and eighth) applications are indicated by dark colors; experienced applications are blue (with black time if OMT-only experienced), and no-
experience applications are red. Column patterns with white indicate a problem with the item indicated in the graph title. Solid columns indicate
no problem with the item indicated in the graph title. Bold 300 indicates an assigned time of 300 seconds for an event failure related to the item
indicated in the graph title. (A) Strap/Redirect Understanding. Outcomes regarding understanding of strap/redirect systems and times from the
director saying “Go” to “strap secured.” (B) Tightening Understanding. Outcomes regarding understanding of tightening systems and times from
“touch tightening system” to either the applier saying “Done” or being stopped by the director. (C) Occlusion at “Done.” Outcomes regarding
occlusion at “Done” and times from the director saying “Go” to the applier saying “Done” or being stopped by the director. (D) Strap Security
at Strap Secured. Outcomes regarding strap security when the strap was secured before using the tightening system and times from the director
saying “Go” to “strap secured.” (E) Tightening-System Security at “Done.” Outcomes regarding tightening-system security at “Done” and times
from “touch tightening system” to either the applier saying “Done” or being stopped by the director.
(A) light = 1st tq pattern with white = problem
dark = 7th or 8th tq solid = no problem
blue = experienced black time = experienced OMT only
red = no experience bold 300 = understanding fail
Strap/Redirect Understanding
11 15.09, 16.37, 21.57, 29.19, 31.67, 38.60, 39.77 25.68, 27.48, 29.42, 30.25, 31.28, 49.17, 69.41, 300 17.06, 22.04, 23.05, 23.21, 26.12, 29.23, 60.36
10
9 39.02, 41.69, 47.60, 55.10, 124.32
8 15.80, 20.49, 22.57, 26.74, 36.21 20.43, 24.20, 40.98, 74.27, 300
7 16.37, 20.45, 21.69, 23.33 21.22, 25.12, 33.34, 36.65 37.96, 52.01, 93.10, 110.98 28.32, 35.89, 36.21, 86.84 18.65, 26.43, 30.40, 30.35 20.65, 24.27, 27.69, 29.32
# of Appliers 6 5 22.28, 25.72, 26.52 20.82, 23.55, 25.02, 27.93, 28.62, 33.27, 36.04, 39.79 30.49, 31.57, 75.88 17.82, 21.49 25.17, 300 24.31, 25.25, 39.12 14.14, 16.52, 17.81, 18.05, 21.51, 21.95, 25.11, 27.97 26.08, 33.59, 47.95 31.57, 32.77, 39.07 35.82, 37.52, 300 28.07, 28.52, 48.62 24.50, 27.25, 59.38
3 4 43.20, 262.47 39.52, 102.47 24.99, 32.67, 35.23 18.05, 20.90 17.84, 20.88 17.01, 24.49
2 21.35 15.67 19.65 80.58 28.40 26.40 67.83 29.39 36.12 20.64 26.45
1
0
CAT7 SOFTTW3 SOFTTW5 TMT OMT X8T Tac RMT RST
(B) Tightening Understanding
11
10 7.96, 10.72, 12.63, 13.44, 26.92, 30.35
9
8 9.45, 10.37, 13.63, 15.67, 18.08 5.79, 6.18, 6.74, 9.90, 10.43 7.27, 7.95, 11.86, 14.26, 27.21
7 8.47, 10.84, 26.59, 42.10 16.18, 17.56, 19.97, 80.99 18.61, 20.81, 27.99, 31.47 4.52, 7.45, 7.67, 13.20 3.75, 4.55, 4.89, 5.05, 8.84, 12.75, 14.14, 14.15, 15.56, 16.33, 20.86
# of Appliers 6 5 8.27, 12.42, 14.47 8.07, 9.70, 11.30, 12.20, 12.60, 16.34, 21.87 5.02, 5.12, 8.08, 8.25, 8.25, 10.17, 10.55, 14.95, 21.10 11.81, 14.69, 19.85 8.27, 8.47, 9.50, 13.93, 15.54, 17.08, 20.64, 30.52, 55.91 3.22, 5.54, 6.22, 8.19, 9.20, 9.70, 10.40, 10.52, 14.50 8.43, 9.87, 13.41 4.50, 6.52, 6.70, 7.43, 8.00, 8.24, 10.48, 12.61, 14.97
3 4 5.54, 13.38 7.50, 11.06 5.65, 5.53 7.45, 8.52 5.56, 11.38 7.90, 23.00
2 6.52 300 21.30 28.92 6.11 12.67 10.61 8.85 16.00 30.83
1 4.72 7.42 5.72
0
CAT7 SOFTTW3 SOFTTW5 TMT OMT X8T Tac RMT RST
(continues)
52 | JSOM Volume 25, Edition 3 / Fall 2025

